一、研究背景

个人数据是公民最重要的个人资产之一,与公民的隐私、财产和生命安全息息相关,个人数据也被视为数字经济的“石油”。随着云计算技术与人工智能、大数据、物联网和区块链等技术的融合发展,个人数据已经成为各类信息技术服务提供商争相抢夺的重要战略资源。数据平台是一个模块化技术系统,由核心和外围设备组成,是充满活力和价值的生态系统。用户通过接入数据平台,运用插件和应用程序接口(API)来实现访问平台资源。网络计算资源正在从传统的垄断基础架构模型转变为“平台化”基础架构模型。
同时,个人数据频繁的泄露和滥用严重威胁个人隐私。根据Verizon发布的《2021年数据泄露调查报告》,2021年1-6月发生了4300多起数据泄露事件,其中85%涉及人为因素。考虑个人数据泄露和滥用的严重性,学者们正在积极寻找个人隐私安全问题的根源(或风险源)。例如,非法行为者获得了信息访问权,使用者违反了访问信息的过程或访问目的不当等。一般而言,个人数据的隐私安全风险主要包括过度收集、数据滥用、数据盗窃和监视以及数据泄露等。就过度收集而言,智能手机数据包含用户的许多生活细节,包括用户的地理位置信息、社交生活、喜好甚至潜在的私人信息。在数据滥用方面,各种数字平台都在尝试更深入地研究他们所收集的个人数据。社交媒体和数字平台致力于描绘用户群体的在线趋势、习惯和意见。在数据盗用和监视方面,音频监视、视频监视、位置监视、生物信息监视、数据监视,以及其他对社会和个人的电子监视系统,将产生更大的侵犯个人隐私的风险。就数据泄露而言,个人积极暴露其数据将带来隐私和安全风险。
目前,个人数据隐私和安全问题研究主要涉及单个影响因素,较少关注个人数据安全问题的系统结构和生态问题。个人数据治理的相关研究主要围绕立法政策和技术研发应用两个方面,着力解决个人数据泄露和滥用问题。立法政策的研究主要通过案例分析等方法讨论个人数据流动机制、法理、隐私保护的立法、执法等问题。个人数据管理的技术研发应用研究主要包括个人数据监控技术应用、概念模型设计、个人数据治理平台的建构、隐私保护模型的实现等方面。管理学、传播学视角的个人数据管理研究主要从大数据理念、管理机制和措施等方面展开,如风险分析、区块链等。当前个人数据研究对网络平台给予了较多关注,探讨平台对个人数据治理的新特征,这些研究能为个人数据安全问题提供基于信息系统的研究范式。
当前,云平台已成为社会运行的基本方式和渠道,并逐步形成一种新型的信息传播系统——云生态系统。平台化成为一种新的社会结构,传统网络运营商通过提取和汇总用户数据转变为平台运营商,平台化已成为趋势。云端化和平台化趋势使得个人数据泄露面临更大风险,个人数据共享与泄露呈现出显著的云端化和平台化特征。
云平台环境下个人数据共享与使用已形成一个庞大而复杂的生态系统,个人数据泄露问题是一个跨学科的复杂系统问题。不同系统之间的相互作用形成云生态系统的“平台逻辑”,网络平台的治理需要一种更加融合、跨学科的方法来处理。基于生态学视角,有关个人数据共享和使用、隐私安全问题的研究也逐渐成熟,形成了一些新概念,如数据网络生态系统、移动生态系统、信任生态等。手机应用与平台成为当前用户数据共享和使用的最主要的生态系统,需要建立用户对数据网络生态系统的信任与依赖。针对移动生态系统中的数据化问题,有研究提出用户应对数据化的方式。个人数据管理方面,有学者提出个人数据的“信任的复杂生态”的概念,强调增加用户对其数据实践的信任,赋予个人用户权力的数据管理模型。
从上述研究可以发现,网络平台中数据共享和使用已构成一个复杂的生态系统,从生态系统视角阐释和探索个人数据共享和使用以及隐私问题,也成为该问题研究的重要范式。个人数据的传播和泄露问题涉及用户、企业、网络平台、政府、社会环境等多个方面,参与者规模巨大,关系复杂,形成共生平台。在此基础上,本文提出云生态视角下的个人数据传播生态系统这一概念,试图基于云生态视角,揭示个人数据开放和使用的结构与特征及其存在的结构性风险。个人数据传播生态系统是指在云平台环境下,各应用平台中个人数据开放、共享和使用过程中形成的复杂生态系统,具有生态链、生态位等生态结构特征。个人数据传播系统在宏观层面表现为一个生态系统,其中个人数据传播结构尤为重要。
云平台环境下,对个人数据传播与泄露的系统与结构的研究还有待加强,需要采用云生态视角,进一步探索个人数据泄露的结构性风险,寻找治理思路。现有研究中,个人数据问题治理研究主要聚焦于法律政策和微观的单一平台的安全防护技术和风险防范机制,忽视了个人数据传播的整体生态系统结构,以及其中的复杂路径和产业链条。基于此,本文采用云生态系统视角,试图建构个人数据传播生态系统及其传播的网络结构模型,探索云平台环境下个人数据传播生态系统的结构和功能,挖掘个人数据传播与泄露的结构性风险。
在云生态系统中,云存储和个人数据的开放和使用让用户失去了对个人数据的控制权,这对个人隐私和敏感数据构成了威胁。但是,人们对个人数据泄露和滥用的结构性因素的认识还不足。根据中国互联网络信息中心(CNNIC)发布的第50次《中国互联网络发展状况统计报告》,截至2022年6月,中国互联网用户数为10.51亿,互联网普及率达到74.4%。中国市场上监测到的在架移动互联网应用程序(简称应用)数量为232万款,已经形成一个庞大的生态系统。本文旨在以中国的个人数据传播生态系统为例,试图回答以下两个问题:
问题1 个人数据的开放和使用会形成什么样的传播生态系统,它具有什么样的复杂网络结构?
问题2 个人数据传播生态系统具有怎样的系统功能?
二、云平台环境下个人数据传播生态系统的复杂网络结构分析
(一)研究设计
云平台环境下,个人数据传播生态系统的复杂网络结构的形成主要基于平台与应用之间的开放和使用关系。平台开放与个人数据开放是个人数据传播生态系统的复杂网络结构形成的基本方式。因此,本部分从平台及应用之间的个人数据开放和使用关系出发,采用抽样调查方式,通过网络资料及实际体验,识别云平台环境下个人数据传播主体(包括云平台、应用等)之间的关联,挖掘个人数据开放和使用所涉及的主体及主体间的关系,建构云平台环境下个人数据传播生态系统的复杂网络拓扑模型。
1.样本选择
本文依据网络应用模式的划分,选定信息获取、电子商务、交流互动、生活娱乐和电子政务等五大类应用以及25小类网络应用模式,然后依据易观千帆提供的应用排名,选取每一类排名前10的应用(部分应用由于用户使用分布较广,选取15个),共计350个应用作为研究样本。
2.挖掘主体间的连接关系并建立邻接矩阵
当前,平台开放的内容包括开放客户和产品数据、开放功能和服务、开放应用程序接口和源代码三个层次。通常一个平台开放可能是多重开放,存在不同开放方式的交叉现象。本文从研究样本出发,按照“顺藤摸瓜”的方法,分析传播主体之间的个人数据开放和使用关系。开放和使用关系是指,平台个人数据对第三方的开放,应用获取并使用平台中个人数据,数据平台与应用、应用与应用之间个人数据的资源互换等建立的个人数据开放和使用关系,具体体现为应用之间的关联关系和第三方账号登录关系、第三方支付关系、第三方接入关系、第三方追踪关系等维度。关系识别的方法包括:对个人数据政策文本及其开放平台官网进行查阅,对平台与应用的开放政策与隐私保护政策的梳理,以及对平台与应用的直接浏览和体验,以此来识别应用平台之间的关联及授权合作关系。
3.个人数据传播生态系统的复杂网络拓扑模型
基于邻接矩阵,采用Gephi等网络分析工具生成个人数据传播生态系统的复杂网络拓扑模型,见图1。
(二)个人数据传播生态系统的复杂网络结构特征分析
对个人数据传播生态系统的复杂网络(下文简称为个人数据传播网络)开展结构特征分析,包括宏观、中观和微观三个层面。
1.宏观结构特征
首先,对个人数据传播网络进行度分布分析,得出度分布概率密度图,并进行度分布拟合,挖掘度分布特征。采用Matlab进行幂函数拟合,结果见表1。拟合优度(置信度为 95%)见图2。
由此可见,该网络度分布服从幂律分布,平均路径很短(L=2.3),具有无标度网络特征。因此,云平台环境下个人数据传播网络是无标度网络。基于该网络结构,个人数据传播具有较短的传播路径,传播纵深较浅。无标度网络结构对于有目的的网络攻击,抗毁性较低,且一旦受到攻击,危害严重。因此,个人数据传播网络的潜在结构性风险较强。
马克·纽曼基于度相关性的概念将网络划分为同配网络、异配网络,并提出计算方法。基于此,度相关分析结果见表2。由表2可见,个人数据传播网络的度相关呈低度负相关特征,即网络属于异配网络,度数大的节点与度数小的节点更倾向于互相连接,也就是说,在个人数据传播网络中,小型应用倾向于寻求与大平台合作,以获取更多数据;而大型应用平台也倾向于通过与小型应用合作,打造自己的生态圈,与其他大型平台形成竞争态势。
2.中观结构分析
中观结构特征方面,本文采用Modularity模块度算法对个人数据传播网络开展社群分析。模块度(Q)的基本含义是社群内节点的连边数与随机情况下的边数之差的比值,Q值的范围在[-0.5,1)。当模块度Q接近0时,表明网络中不存在社团结构;随着模块度的增加,社团结构越来越清晰。当Q值在0.3~0.7时,说明社群结构划分明显。经计算,个人数据传播网络的模块度Q=0.271,并划分出21个社群,社群规模分布见图3、图4。
由图4可知,个人数据传播网络形成了5个主要的社群,这5个社群具有较大的规模(拥有较多的传播者)。5个社群分别是以微信、QQ、微博、支付宝、百度为核心的社群。其中,最大的社群是以微信为核心的社群,拥有108个成员,成为个人数据传播网络中的超级平台。从整体来说,个人数据传播网络的模块度值略低于0.3,表明个人数据传播网络具有一定的社群结构特征,但社群结构不够显著,这说明个人数据传播具有一定的社群内传播倾向,但个人数据传播在不同社群之间存在较多的共享、交换和使用行为,使得个人数据可以在不同社群中广泛传播。
3.微观结构分析
微观结构特征方面,通过关键节点分析挖掘个人数据传播的关键节点和主要路径。本文主要采用度中心性和中介中心性来探索个人数据传播的关键节点和主要路径。
其一,通过度中心性和中介中心性分析获取关键节点。度中心性(degree centrality,DC)可以反映一个应用在个人数据传播网络中的参与程度;中介中心性(between centrality,BC)可以衡量一个应用对网络中资源流动的控制能力。经计算,排名前十的应用见表3、表4。
基于度中心性和中介中心性,可以发现上述度中心性和中介中心性较高的节点往往限制度较小,即占据了结构洞位置。“限制度”是指行动者在网络中拥有运用结构洞的能力,限制度越小,运用结构洞的能力就越强。可见,这些枢纽节点(hub节点)占据个人数据传播的关键路径,控制着个人数据传播方向,极大地影响着个人数据的传播。因此,整体网络中个人数据传播对上述枢纽节点具有较强的路径依赖特征。
其二,本文引入“富人俱乐部”概念进一步分析枢纽节点之间的关系。“富人俱乐部”是指网络中度数较大的“富节点”之间以较高的概率互联所构成的富节点集合,可以采用“富人俱乐部”系数测量。“富人俱乐部”系数Φr表示最富有的r个节点的总链路数Er与这r个节点之间总的可能存在的共享链路数的最大值r(r-1)/2的比值。Φr=0,则不存在“富人俱乐部”;Φr=1,则所有的富节点之间全部相连,形成完全连通图。“富节点”本身是一个枢纽节点,“富人俱乐部”系数越高,“富人俱乐部”就越显著,也就形成一个超级枢纽,网络中个人数据传播的路由效率也将越高。
依此计算得出,个人数据传播网络的“富人俱乐部”系数Φr=0.4889,并获取“富人俱乐部”局部网络图(图5)。可见,“富节点”之间存在中低等程度的“富人俱乐部”现象,这使得个人数据传播效率更高、路径更短,“富人俱乐部”的互联构成个人数据传播的主要路径。
由表5可知,“富人俱乐部”局部网络度分布较为均匀,集中程度较低,各节点限制度指标相差较小,说明“富人俱乐部”网络较为均匀,不存在明显的结构洞特征。除了京东金融对京东商城有依赖,枢纽节点之间的依赖程度较弱外(枢纽节点之间不存在明显的路径依赖现象,存在较强的竞争关系),总体来说,整体网络对枢纽节点的路径依赖较强,而枢纽节点之间的路径依赖较弱。这种网络结构既能提高整体网络的路由效率,又具有一定的社群隔离特征,形成个人数据的竞争格局。
(三)传播链分析
生态链价值平衡的标志是生态链中各信息主体的合理价值需求得到满足,主要表现在信息生态链价值需求结构合理和合理需求得到满足两方面。价值需求结构合理是指需求数量与需求种类比例合理,合理需求得到满足是指不同种类及数量的信息需求可以得到有效满足。
1.个人数据传播生态链比例合理程度分析
合理的供给链在云平台环境下个人数据传播生态系统中呈现为个人数据供需链的合理,即个人数据传播的类型与规模比例的合理。本文通过个人数据的供需类型和规模两方面来衡量个人数据传播链比例合理程度。
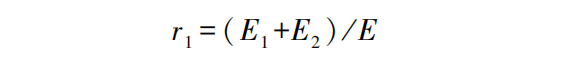
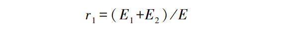
首先,个人数据类型相匹配程度的测量基于应用平台个人数据传播关系中个人数据供需匹配的占有比例。个人数据供需匹配是指不同层级的应用之间个人数据存在同质化(上下游供需方式)或同一层级的应用之间的个人数据异质化(资源互补供需方式)。其计算公式为:
式中,r1为个人数据类型相匹配程度,E1为不同层级的应用之间个人数据存在同质化的关系数量,E2为同一层级的应用之间的个人数据异质化的关系数量,E为整体网络所有关系的数量。基于该算法和样本网络分析,E1=45,E2=695,E=1167,r1=0.6341。可见,各应用之间的个人数据类型相匹配程度较好。
其次,个人数据供需规模相匹配的测量基于应用的核心边缘地位与其占有个人数据资源规模的匹配程度,越占据核心地位的应用,其个人数据规模应当越大。该匹配性采用应用的核心边缘地位与其占有个人数据资源规模的斯皮尔曼相关系数r2(-1≤r2≤1)为测量指标,相关系数越大,供需规模越匹配。相关分析结果见表6。
由表6可见,核心边缘地位与其占有个人数据资源规模的斯皮尔曼相关系数r2=0.431(P<0.01,N=350),二者具有中度的正相关性,标准化处理r2′=(r2+1)/2=0.7155。可见,个人数据传播网络中,应用的核心地位与其个人数据资源占有规模较为匹配。
因此,个人数据传播生态链比例合理程度为(r1+r2′)=0.6748,可见,个人数据传播链比例合理程度较好。
2.个人数据传播链的完备性
信息生态链的完备性是用来测量信息生产者、传递者与消费者等主体之间是否形成链式依存关系。完整的产业链是传媒产业可持续发展的必然要求。因此,生态链完备性能反映生态链主体合理资源需求的满足情况。
个人数据传播网络中,个人数据需求的满足依赖于各应用主体之间开放和使用等合作关系。当应用主体存在基于个人数据供应链的供给关系(上下游供需方式)或基于资源互补的供给关系(资源互补供需方式)时,则该应用主体具有完备的供应链。基于此,本文提出个人数据传播生态链完备性的测量方法:具有完备供应链的传播主体的占比,即Nc/N,式中Nc为具有完备供应链的传播主体,N为网络规模。依此计算得,Nc=284,N=350,个人数据传播生态链完备性为0.8114。可见,当前个人数据传播网络中,绝大多数个人数据传播者的个人数据需求能得到有效满足;当前生态系统中个人数据传播链较完备,即各应用平台已建立获取和开放个人数据的有效渠道。
(四)生态位分析
1.生态位宽度分析
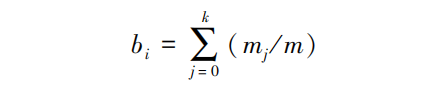
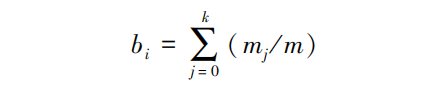
媒体生态位是指在特定的资源空间中一个媒体可以利用的资源情况,包括资源的种类与数量,并提出相应的计算方法。例如,Levins生态位宽度的测量方法。个人数据传播主体的生态位宽度是指个人数据传播主体可利用的个人数据资源情况,包括邻居节点的数量及个人数据规模和自己的个人数据资源的总量。本研究涉及的个人数据资源包含某应用的邻居节点数量和可利用的个人数据资源存量两个维度,个人数据存量以用户规模为基准。基于此,生态位宽度的计算方法为:
其中,bi为传播者i的生态位宽度(0≤bi≤1),k为传播者i的邻居节点规模,mj为节点i的邻居节点j与自己(m0)的个人数据资源存量,m为网络中个人数据资源的总量。经计算,350个应用的生态位宽度分布结果见图6。
数据表明,只有7个应用的生态位宽度较高,占据较多的资源,而绝大多数应用的生态位宽度较低。大量的个人数据传播者生态位宽度低,其生存空间受到极大威胁。这为盗窃和滥用个人数据带来了隐患。
2.生态位重叠度分析
个人数据传播主体生态位重叠度是指在个人数据传播生态系统中,两个传播者对个人数据资源共同利用的相似程度。在复杂网络中,主体间生态位重叠表现为节点间的结构对等性,是指节点具有相同或相似的结构特征。两个节点的结构对等性越高,则二者在传播网络中所处的位置越相似,从而表现出较强的竞争性。
当前,结构对等性的测量方法主要基于截面相似性。基于个人数据传播网络是度差异很大的二值网络,本文采用雅克比系数法,主要考虑两个节点的邻居节点中共同邻居节点数量的占比。计算公式如下:
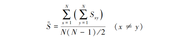
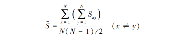
式中,Sxy是节点x、y的结构对等性,0≤Sxy≤1,a是节点x、y的共同邻居节点数量,b是x的邻居节点而非y的邻居节点数量,c是y的邻居节点而非x的邻居节点数量。基于此,整体网络的结构对等性指标为:
式中,S为整体网络的结构对等性,N(N-1)/2为节点两两配对的规模,0≤S≤1。由于整体网络的结构对等性越高,生态位重叠度越高,故传播者在资源、功能、结构上的重叠越高,竞争越大,生态位越不合理。
运用上述算法,生态位重叠度值S=0.2133。可见,当前个人数据传播网络的整体网络结构对等性并不高,整体网络的生态位重叠情况较低,生态位分布较为合理,能够缓解个人数据传播生态系统中的恶性竞争。
三、云平台环境下个人数据传播生态系统的功能分析
云平台环境下个人数据传播生态系统的个人数据传播功能是生态系统动态运动的结果,需要通过网络结构的动力学仿真对其进行分析。
(一)仿真实验设计
本部分基于静态网络结构,仿真个人数据传播的动态过程,研究个人数据传播的整体涌现结果,分析云平台环境下个人数据传播生态系统的个人数据传播功能。具体实验设计见表7。
(二)传播效率分析
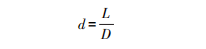
复杂网络传播动力学中,可利用传播网络的深度(depth)测量一个网络的传播效率。整体网络的传播深度是指节点间平均距离与网络直径的比值:
式中,d为传播网络的深度,L为网络平均路径长度,D为网络直径,0≤d≤1。
传播效率与网络深度负相关。网络深度越小,传播所需路径就越短,传播效率也就越高;反之,网络传播越纵深,传播效率越低。因此,网络传播效率为1-d。经计算,该网络传播效率为0.6167。可见,个人数据传播网络具有较好的传播效率,能实现个人数据高效传播
(三)传播的公平性分析
经济学中,亚当斯的公平理论指出,公平是指收入分配的相对平等。从企业管理角度讲,戴维斯提出的责任铁律认为,企业的社会责任必须与企业的社会权利相称,即权利越大,责任越大。基于此,传播的公平性一方面要考虑各应用平台的合理分配与共同发展,另一方面还要考虑各应用平台责任与权利的相匹配。因此,个人数据传播的公平性包括传播的均衡性与匹配性。传播的均衡性是指各应用平台可以通过合理分配实现多方共赢、共同发展;传播的匹配性是指各应用平台的个人数据资源占有情况与个人数据传播的能力相匹配。
1.传播的均衡性分析
生态系统中各主体存在一定的异质性、非均匀性是生态系统动态发展的必然要求。均衡性是指生态系统内各主体互利共生、共同发展的均衡,是成长的均衡、增长的均衡,而非个人数据资源存量的均衡或均匀,即各主体的个人数据增长都具有良好的增长率。
基于此,可以通过样本应用中具有良好增长率的占比来衡量个人数据传播的均衡性。计算公式为:(N-N(i))/N,其中N(i)是不能实现良好增长的节点规模,N为整体网络规模。当所有节点的个人数据增长都符合指数增长时,增长就是完全均衡。经计算,个人数据传播均衡性指标为0.8086。可见,样本应用中大部分都具有良好的增长性,能够实现个人数据资源的长期有效增长,从而保障整体网络中绝大多数应用的互利共生与共同发展。
2.传播的匹配性分析
传播的匹配性应该反映传播主体个人数据资源与其传播能力的相关性,相关性越高,传播的匹配性越高,传播过程越合理。因此,匹配性可以采用节点的个人数据资源占比与度中心性的相关性来衡量,个人数据资源占比与度中心性的相关性越高,传播的匹配性也就越高。基于定序数据,本文采用斯皮尔曼相关系数θ(-1≤θ≤1)作为相关性指标,分析结果见表8。
相关系数θ越接近1,正相关性越大,匹配性越高;θ越接近-1,负相关性越强,匹配性越低,该情况下匹配性极不合理。相关系数θ=0.489(P<0.01,N=350),说明个人数据资源占比与度中心性具有中度正相关性,即传播者的传播能力与个人数据资源具有较好的正相关性,因此,网络中传播者的传播能力与个人数据资源分布具有较好的匹配性。由此可见,当前个人数据传播者的传播能力与其个人数据资源具有较好的关联性,符合责任铁律,有助于维护当前个人数据传播网络的公平性。
四、结论与讨论
通过对云平台环境下个人数据传播生态系统结构与功能的研究,本文得出以下三个结论。
(一)当前中国个人数据传播生态结构较合理,基本符合生态平衡要求,能实现良性发展,但同时面临诸多不确定因素,存在内部生态威胁
从个人数据传播链、生态位角度来看,中国个人数据传播生态系统的市场供需结构完备,市场机制发挥良好,能较好地避免恶性竞争。目前,中国已形成以阿里系、腾讯系等为代表的五大平台生态圈,个人数据在不同社群、应用平台中快速流动,推动个人数据产业和社会经济繁荣发展。当前个人数据传播生态系统的应用平台类型多样,除头部应用外,还有大量应用平台处于尾部,在生态系统中不断更迭。同时,应用平台之间保持了良好的生态位结构,有利于资源的合理竞争。
从个人数据传播过程来看,其整体传播功能良好,能实现各应用平台的整体协同,共同推进生态系统的稳定发展。当前环境下,个人数据传播效率高,能有效实现个人数据的广泛传播;同时,生态系统能维持不同应用平台的均衡发展,发挥各自在生态系统中的作用,实现应用平台的合作共赢、协同发展。
总体来说,整体生态结构虽然存在显著的不平等特征,少数头部超级平台占据核心地位和大部分资源,却基本符合生态平衡特征,能基本维持生态平衡与良性发展。但同时,由于个人数据传播生态系统是具有较强正反馈特征的系统,超级平台将愈发强大,该系统将不断中心化。过度中心化会压缩大部分应用平台的生存空间,形成内部生态威胁。
(二)当前中国个人数据传播生态系统的结构性风险显著,这是互联网强网络效应的必然结果,无法依靠应用平台的自我调节来克服风险,需建立灵敏的风险预警、重点监管等外部干预机制
当前中国个人数据传播生态系统结构已形成以少数超级平台为核心的垄断结构,并形成“富人俱乐部”,存在显著的路径依赖现象。该结构下,个人数据传播生态系统的传播效率高,推动数据产业的繁荣发展,但个人数据泄露的结构性风险也极高。个人数据传播系统的整体中心化特征显著,一旦个人数据出现泄露等问题,其影响速度更快、范围更广,也更难及时控制,危害更大。基于传播网络的结构特征,个人数据存在链式反应的不确定风险,风险发生的随机性、偶然性较强。超级平台是核心风险源,其数据生产行为形成大规模的衍生数据,存在还原身份信息、侵害隐私的潜在风险。可见,当前个人数据传播生态系统具有明显的脆弱性,其潜在结构性风险巨大。
互联网产业的强网络效应是结构性风险的根本原因,结构性风险是互联网生态发展的必然结果。若没有外部干预,中国个人数据传播生态系统将进一步集中化和中心化,形成高度集中的中心化网络结构和寡头垄断市场。这种结构下,个人数据的泄露和窃取的风险更加难以控制。因此,要加强外部干预,防止个人数据传播系统进一步集中化;同时需利用区块链等去中心化的技术缓解个人数据存储的过度中心化,强化个人数据的分布式存储和管理,以避免中心化结构带来的结构性风险。
基于当前我国个人数据传播生态系统结构性风险大、速度快等特征,应当建立灵敏的风险反应机制和重点监管机制等外部干预机制。通过灵敏迅速的风险预警反应机制,对个人数据非法传播进行及时有效的阻断和控制,迅速控制个人数据泄露的影响广度和程度。同时,由于处于不同地位的应用平台的结构功能差异,应建立差异化的监管与预警机制。针对超级平台,政府应该在技术、行政、政策上给予其更高的权重,如风险预警系统设计上要向其分配更多的资源等。
(三)个人数据传播生态系统具有高度复杂性,个人数据治理需要采用生态化治理思路,引导生态结构的合理调整
个人数据传播生态环境、要素、结构处于不断的演化过程中,其风险预警依赖于整体系统特征。基于当前个人数据传播生态系统的实证分析结果,个人数据传播生态系统的风险主要来自于生态结构,生态系统结构是生态治理的重点对象。目前,个人数据治理的组织结构和方式都较为分散,难以应对复杂系统变化。因此,个人数据安全治理需采用生态学视野、系统工程方法、生态化治理的思路,即将治理看作一个系统工程,从生态系统的整体出发,实现多方面参与、共同发挥作用、综合考量的协同治理;统筹个人数据传播的整体环节,实现各参与主体的动态协调。具体的建议如下。
首先,要发挥政府在个人数据传播相关问题治理的主导地位,建立个人数据治理结构和治理框架,解决生态系统治理的结构性问题。政府要建立完善的治理结构和监督、制衡等协同治理机制,协同多方利益主体,发挥生态规划、生态环境优化、生态整治的功能,引导个人数据开放、获取和使用者的合理传播行为。其次,要支持多元发展,防止个人数据市场被垄断。通过支持多元发展,增强大量处于边缘位置的应用的存活能力和发展空间,可以完善个人数据传播网络,缓解个人数据资源过于集中的趋势。如强化多方合作,增加非核心平台参与能力,对中小型应用平台予以扶持和鼓励,支持中小型平台之间合作等。当前,去中心化是互联网治理的重要思路,如采用区块链技术,建立数据中心联动与防范机制等。最后,要调动超级平台的社会责任与治理能力。基于超级平台的传播能力、技术优势和庞大的个人数据资源,个人数据相关问题的治理需要积极利用超级平台的能力,调动超级平台的社会责任,发挥其协同治理能力。
●彭静,湖北师范大学文学院讲师
●李卫东,“大数据与国家传播战略”教育部哲学社会科学实验室(培育)执行主任、华中科技大学新闻与信息传播学院教授
以上就是本篇文章【彭静 等:云平台环境下个人数据传播生态系统研究】的全部内容了,欢迎阅览 ! 文章地址:http://lanlanwork.gawce.com/quote/9810.html 行业 资讯 企业新闻 行情 企业黄页 同类资讯 网站地图 返回首页 阁恬下移动站 http://lanlanwork.gawce.com/mobile/ , 查看更多

















